MC17119 衣霉素 [11089-65-9]
详情
| 英文名称 | Tunicamycin from Streptomyces lysosuperficus |
|---|---|
| 别名 | TunicamyClnfromStreptomyceslysosuperficus |
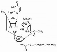
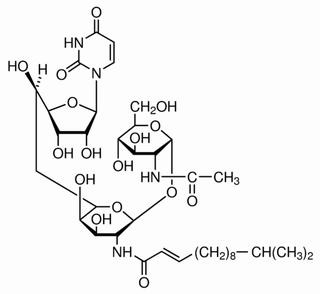
| 分子式 | C30H46N4O16 |
| CAS号 | 11089-65-9 |
| 分子量 | 718.70344 |
| MDL | MFCD00065709 |
| 名称 | 衣霉素 |
| 介绍 | 高纯,98% |
| 英文名称 | Tunicamycin from Streptomyces lysosuperficus |
|---|---|
| 别名 | TunicamyClnfromStreptomyceslysosuperficus |
| 分子式 | C30H46N4O16 |
| CAS号 | 11089-65-9 |
| 分子量 | 718.70344 |
| MDL | MFCD00065709 |
| 名称 | 衣霉素 |
| 介绍 | 高纯,98% |