MC20054 多聚左旋赖氨酸 [25988-63-0]
详情
| 英文名称 | Poly-L-lysine hydrobromide |
|---|---|
| 别名 | 多聚-L-赖氨酸;聚-L-赖氨酸氢溴酸盐;多聚赖氨酸氢溴酸盐 |
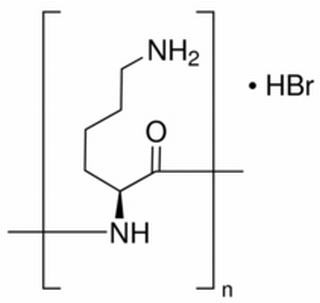
| 分子式 | (C6H12N2OHBr)n+H2O |
| CAS号 | 25988-63-0 |
| 分子量 | NA |
| MDL | MFCD00165424 |
| 名称 | 多聚左旋赖氨酸 |
| 介绍 | 分子量3~7万 |
文档信息
| 文档 | COA NMR HPLC MSDS Datasheet |
|---|
生物活性
| 描述 | 聚赖氨酸(盐酸)是一种水溶性合成多肽[1]。 |
|---|---|
| 相关类别 |
研究领域 >> 其他 信号通路 >> 其他 >> 其他 |
| 参考文献 |
[1]. Archishman Ghosh, et al. Three archetypical classes of macromolecular regulators of protein liquid-liquid phase separation. Proc Natl Acad Sci U S A. 2019;116(39):19474-19483. |
物理化学性质
| 密度 | 1.156g/cm3 |
|---|---|
| 沸点 | 745.4ºC at 760mmHg |
| 分子式 | (C6H14N2O2)n.nBrH |
| 分子量 | 227.09900 |
| 闪点 | 404.6ºC |
| 精确质量 | 226.03200 |
| PSA | 89.34000 |
| LogP | 1.88600 |
| 外观性状 | 白色粉末 |
| 蒸汽压 | 1.24E-05mmHg at 25°C |
| 储存条件 | 2-8℃ |
| 稳定性 | 常温常压下稳定 避免接触强 酸 |
| 计算化学 |
1、 疏水参数计算参考值(XlogP):无 2、 氢键供体数量:7 3、 氢键受体数量:8 4、 可旋转化学键数量:17 5、互变异构体数量:4 6、拓扑分子极性表面积(TPSA):200 7、重原子数量:28 8、表面电荷:0 9、复杂度:463 10、同位素原子数量:0 11、确定原子立构中心数量:3 12、不确定原子立构中心数量:0 13、确定化学键立构中心数量:0 14、不确定化学键立构中心数量:0 15、共价键单元数量:1 |
| 更多 |
1. 性状:冷冻干燥粉末或结晶性粉末 2. 密度(g/mL,25/4℃): 未确定 3. 相对蒸汽密度(g/mL,空气=1):未确定 4. 熔点(ºC):未确定 5. 沸点(ºC,常压):未确定 6. 沸点(ºC,5.2kPa):未确定 7. 折射率:未确定 8. 闪点(ºC):未确定 9. 比旋光度(º):未确定 10. 自燃点或引燃温度(ºC):未确定 11. 蒸气压(kpa,20ºC):未确定 12. 饱和蒸气压(kPa,60ºC):未确定 13. 燃烧热(KJ/mol):未确定 14. 临界温度(ºC):未确定 15. 临界压力(KPa):未确定 16. 油水(辛醇/水)分配系数的对数值:未确定 17. 爆炸上限(%,V/V):未确定 18. 爆炸下限(%,V/V):未确定 19. 溶解性:溶于水,不溶于常用的有机溶剂 |
英文别名
| 别名 |
POLY-L-LYSINE PDL Solution POLY-L-LYSINE 70 000 HBR POLY(LYS).HBR Polylysine hydrobromide POLY-L-LYSINE HYDROBROMIDE PDL HBr L-Lysine homopolymer |
|---|

![MC20054 多聚左旋赖氨酸 [25988-63-0]](https://mxbioscience.com/media/catalog/product/cache/2/image/200x189/9df78eab33525d08d6e5fb8d27136e95/1/0/104919.jpg)