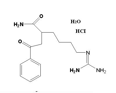
MC20170 Na-苯甲酰-L-精氨酰胺盐酸盐 [965-03-7]
详情
| 英文名称 | BAA |
|---|---|
| 别名 | Na-苯甲酰-L-精氨酸 |
| 分子式 | C13H19N5O2 · HCl · H2O |
| CAS号 | 965-03-7 |
| 分子量 | 331.80 |
| MDL | NA |
| 名称 | Na-苯甲酰-L-精氨酰胺盐酸盐 |
| 介绍 | BR,98% |
| 英文名称 | BAA |
|---|---|
| 别名 | Na-苯甲酰-L-精氨酸 |
| 分子式 | C13H19N5O2 · HCl · H2O |
| CAS号 | 965-03-7 |
| 分子量 | 331.80 |
| MDL | NA |
| 名称 | Na-苯甲酰-L-精氨酰胺盐酸盐 |
| 介绍 | BR,98% |