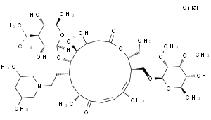
MC25864 替米考星 [108050-54-0]
详情
| 英文名称 | Tilmicosin |
|---|---|
| 别名 | 替米可新;4A -O- 脱(2,6-二脱氧-3-C-甲基-a-L-核-吡喃已糖基)-20-脱氧-20-(顺-3,5-二甲哌啶基)泰乐菌素;20-Deoxy-20-(3,5-dimethylpiperidin-1-yl)-desmycosin;Pyrantel Pamoate;20-Deoxo-20-(3;5-dimethyl-1-piperidinyl)desmycosin;(4R,5S |
| 分子式 | C46H80N2O13 |
| CAS号 | 108050-54-0 |
| 分子量 | 869.13 |
| MDL | MFCD00864842 |
| 名称 | 替米考星 |
| 介绍 | 85% |

![MC25864 替米考星 [108050-54-0]](https://mxbioscience.com/media/catalog/product/cache/2/image/200x114/9df78eab33525d08d6e5fb8d27136e95/1/0/108050-54-0.gif)