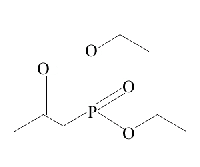
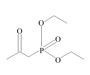
MC40607 丙酮基膦酸二乙酯 [1067-71-6]
详情
| 英文名称 | Diethyl (2-oxopropyl)phosphonate |
|---|---|
| 别名 | (2-氧丙基)膦酸二乙酯; (2-氧代丙基)磷酸二乙酯; 乙酰基甲基膦酸二乙酯; 丙酮基磷酸二乙酯;;Diethyl Acetonylphosphonate; Acetonylphosphonic Acid Diethyl Ester; Diethyl (2-Oxopropyl)phosphonate; (2-Oxopropyl)phosphonic Acid Diethyl Ester; 1-d |
| 分子式 | C7H15O4P |
| CAS号 | 1067-71-6 |
| 分子量 | 194.17 |
| MDL | MFCD00044728 |
| 名称 | 丙酮基膦酸二乙酯 |
| 介绍 | 96% |

![MC40607 丙酮基膦酸二乙酯 [1067-71-6]](https://mxbioscience.com/media/catalog/product/cache/2/image/200x167/9df78eab33525d08d6e5fb8d27136e95/3/0/300607.gif)