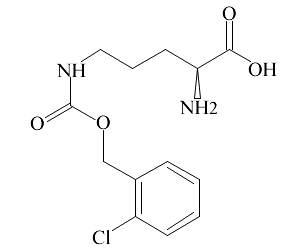
MC41271 N'-(2-氯苄氧羰基)-L-鸟氨酸 [118553-99-4]
详情
| 英文名称 | N'-(2-Chlorobenzyloxycarbonyl)-L-ornithine |
|---|---|
| 别名 | N’-(2-氯苄氧羰基)-L-鸟氨酸;T955; AmbotzHAA6970; N'-(2-Chlorobenzyloxycarbonyl)-L-ornithine; (S)-2-Amino-5-((((2-chlorobenzyl)oxy)carbonyl)amino)pentanoic acid; H-Orn(2-Cl-Z)-OH; H-ORN(2-CL-Z)-OH; |
| 分子式 | C13H17ClN2O4 |
| CAS号 | 118553-99-4 |
| 分子量 | 300.8 |
| MDL | MFCD00235874 |
| 名称 | N'-(2-氯苄氧羰基)-L-鸟氨酸 |
| 介绍 | 98% |

![MC41271 N'-(2-氯苄氧羰基)-L-鸟氨酸 [118553-99-4]](https://mxbioscience.com/media/catalog/product/cache/2/image/200x167/9df78eab33525d08d6e5fb8d27136e95/3/0/301271.gif)