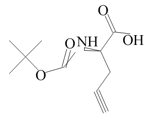
MC49317 BOC-D-炔丙基甘氨酸 [63039-46-3]
详情
| 英文名称 | (R)-N-Boc-Propargylglycine |
|---|---|
| 别名 | BOC-D-炔丙基甘氨酸;叔丁氧羰基-D-炔丙基甘氨酸 |
| 分子式 | C10H15NO4 |
| CAS号 | 63039-46-3 |
| 分子量 | 213.23 |
| MDL | NA |
| 名称 | BOC-D-炔丙基甘氨酸 |
| 介绍 | 95% |
| 英文名称 | (R)-N-Boc-Propargylglycine |
|---|---|
| 别名 | BOC-D-炔丙基甘氨酸;叔丁氧羰基-D-炔丙基甘氨酸 |
| 分子式 | C10H15NO4 |
| CAS号 | 63039-46-3 |
| 分子量 | 213.23 |
| MDL | NA |
| 名称 | BOC-D-炔丙基甘氨酸 |
| 介绍 | 95% |