MC64203 2'-Deoxyadenosine 5'-monophosphate disodium salt 2922-74-9 脱氧腺苷酸二钠
详情
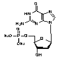
| 英文名称 | 2922-74-9 |
|---|---|
| 别名 | C10H12N5O6PNa2 |
| 分子式 | 375.19 |
| CAS号 | |
| 分子量 | S64203 |
| MDL | 脱氧腺苷酸二钠 |
| 名称 | ≥98% |
| 介绍 | /P371012.gif |
| 英文名称 | 2922-74-9 |
|---|---|
| 别名 | C10H12N5O6PNa2 |
| 分子式 | 375.19 |
| CAS号 | |
| 分子量 | S64203 |
| MDL | 脱氧腺苷酸二钠 |
| 名称 | ≥98% |
| 介绍 | /P371012.gif |