你的浏览器似乎禁用了 JavaScript。
您必须在浏览器中启用JavaScript才能使用本网站的功能。
MXBIOSCIECNE-Biochemicals and Antibodies
我的帐户
我的购物车
结账
登录
搜索
高级搜索
0
件
中文
English
首页
抗体和蛋白
单克隆抗体
多克隆抗体
偶联抗体
蛋白和酶
Elisa Kit
分析化学
生化试剂
推荐产品
多肽
抗生素
碳水化合物
维生素
辅酶
天然产物
核苷和核苷酸
糖缀合物
脂质
生物学缓冲液
除垢剂
琼脂糖
氨基酸
Microbial Culture Media
抑制剂和靶点
PI3K/AKT/mTOR
Epigenetics
HDAC
Methylation
Inflammation
Tyrosine Kinase
c-Kit
c-Met
MEK
BTK
c-RET
Trk receptor
IGF-1R
Axl
CSF-1R
ROS1
Tyro3
RON
Tie-2
DYRK
Ephrin receptor
ACK
DDR
Fer kinase
Angiogenesis
EGFR
VEGFR
PDGFR
FLT3
FGFR
Src
Bcr-Abl
HER2
ALK
Syk
FAK
HIF
VDA
Apoptosis
Apoptosis related
TNF-alpha
Bcl-2
Caspase
Ferroptosis
Ras
p53
RIP kinase
PD-1 and PD-L1
Mdm2
Myc
FKBP
Thymidylate Synthase
OXPHOS
PERK
PKD
PFKFB
Bcl-6
Pyroptosis
Nur77
Survivin
cytohesin
DAPK
TRADD
Autophagy
Autophagy
Mitophagy
CXCR
Nrf2
LRRK2
ULK
FKBP
Heme Oxygenase
cGAS
OGA
LC3
ER stress
eIF
IRE1
ASK
PDI
PKR
ATF-6
JAK-STAT
JAK
STAT
Pim
MAPK
ERK
Raf
p38 MAPK
JNK
Ras
MEK
S6 Kinase
Mixed Lineage Kinase
MNK
TAK1
MAP4K
KLF
TOPK
MAPKAPK2
Cytoskeletal Signaling
Microtubule Associated
Wnt-beta-catenin
HSP
PKC
Integrin
FAK
Kinesin
PAK
MPS1
Dynamin
PORCN
MLCK
Actin
Gap-Junction
TACC3
Cardiac Myosin
Cell Cycle
DNA/RNA Synthesis
CDK
Aurora Kinase
Rho
Casein Kinase
Serine/threonin kinase
DHFR
Chk
PP2A
BMI-1
DYRK
PFKFB
LIM kinase
RUNX
TOPK
APC
Wee1
FOXM1
DOCK
Haspin Kinase
Choline kinase
Mad2
TGF-beta/Smad
TGF-beta/Smad
Bcr-Abl
PKC
ROCK
DNA Damage
DNA/RNA Synthesis
HDAC
Topoisomerase
PPAR
PARP
Sirtuin
ATM/ATR
Casein Kinase
DNA-PK
DNA alkylator
DHFR
Nucleoside Analog/Antimetabolite
eIF
CRISPR/Cas9
Thymidylate Synthase
Telomerase
BMI-1
RAD51
LIM kinase
RNR
MTH1
High-mobility Group
G-quadruplex
SMN
OGG1
Pax
FENs
Stem Cells and Wnt
GSK-3
Hedgehog and Smoothened
Gamma-secretase
Notch
PKA
OCT
Stemness kinase
Fascin
SFRP
Hippo
YAP
TEAD
MAP4K
MST
Ubiquitin
E3 Ligase
DUB
Proteasome
E1 Activating
p97
SUMO
E2 conjugating
Neuronal Signaling
Adrenergic Receptor
AChR
5-HT Receptor
COX
Calcium Channel
Dopamine Receptor
Histamine Receptor
Serotonin Transporter
MAO
Trk receptor
Beta Amyloid
CaMK
Notch
BACE
Neurokinin Receptor
Neurokinin A
BChE
COMT
NF-κB
NF-κB2 p52/p100
NF-κB1 p50/p105
c-Rel
Rel A/p65
Rel B
ROS
IκB/IKK
NOD
MALT
GPCR
Dopamine Receptor
Histamine Receptor
Prostaglandin Receptor
Adenosine Receptor
CXCR
Angiotensin Receptor
CCR
Cannabinoid Receptor
S1P Receptor
PKA
cAMP
Glucagon Receptor
Sigma Receptor
GPCR19
Guanylate Cyclase
PKG
Endothelin Receptor
LTR
Neurokinin Receptor
LPA Receptor
Vasopressin Receptor
OX Receptor
PKD
PAR
MT Receptor
NPY receptor
Taste Receptor
FPR
Melanocortin Receptor
CaSR
TAAR
Imidazoline Receptor
GRK
DOCK
CGRP Receptor
PAFR
RGS
Bradykinin Receptor
Neurotensin Receptor
Bombesin Receptor
CRFR
Parathyroid Hormone Receptor
Endocrinology
Estrogen progestogen Receptor
Androgen Receptor
Glucocorticoid Receptor
GPR
RAAS
Opioid Receptor
PGES
Aromatase
GHSR
GNRH Receptor
Mineralocorticoid Receptor
5-alpha Reductase
CCK receptor
TSH Receptor
Transmembrane Transporters
AChR
Calcium Channel
Potassium Channel
Sodium Channel
GABA Receptor
TRP Channel
ATPase
GluR
P2 Receptor
NMDAR
Proton Pump
SGLT
CD markers
CFTR
P-gp
Chloride Channel
CRM1
Amino acid transporter
NCX
MCT
BCRP
OCT
NKCC
VDAC
GlyR
GlyT
OAT
Mechanosensitive Channel
Aquaporin
MTP
VMAT
VRAC
EAAT
OATP
Metabolism
P450
Dehydrogenase
PPAR
PDE
phosphatase
Vitamin
HSP90
Transferase
Lipoxygenase
Phospholipase
Casein Kinase
Carbohydrate Metabolism
Fatty Acid Synthase
Serine-threonin kinase
ACE
DHFR
Peroxidases
IDO-TDO
IDO1
IDO2
TDO
Mitochondrial Metabolism
Hydroxylase
Carbonic Anhydrase
FXR
Retinoid Receptor
Lipase
HMG-CoA Reductase
FAAH
细胞培养/实验
细胞培养试剂
培养基
无血清培养基
减血清培养基
低血清培养基
细胞株
血清
胎牛血清
分子生物学
核酸纯化
PCR
RT-PCR
qRCR
耗材
COVID-19
技术资料
首页
>
生化试剂
>
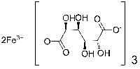
MC68199 Iron saccharate 8047-67-4 蔗糖铁
MC68199 Iron saccharate 8047-67-4 蔗糖铁
详情
英文名称
8047-67-4
别名
C18H24Fe2O24
分子式
736.06
CAS号
分子量
S68199
MDL
蔗糖铁
名称
蔗糖:≥80%,铁:5%~6%
介绍
/8047-67-4.gif
产品标签
添加您的标签:
添加标签
使用空格分隔标签。使用单引号(')标注标签。
产品名
规格
价格
MC68199-100g
100g
+
¥ 2,744.00
MC68199-25g
25g
+
¥ 1,890.00
MC68199-5g
5g
+
¥ 827.40
¥ 0.00
添加到购物车
热门产品
x
添加到购物车
价格:
实际价格:
Our price is lower than the manufacturer's "minimum advertised price." As a result, we cannot show you the price in catalog or the product page.
You have no obligation to purchase the product once you know the price. You can simply remove the item from your cart.
Our price is lower than the manufacturer's "minimum advertised price." As a result, we cannot show you the price in catalog or the product page.
You have no obligation to purchase the product once you know the price. You can simply remove the item from your cart.
© 2012-2020 MXBIOSCIECNE LLC. All Rights Reserved.
沪ICP备18022364号-1