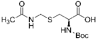
MC70556 Boc-Cys(Acm)-OH 19746-37-3 S-乙酰胺基甲基-N-叔丁氧羰基-L-半胱氨酸
详情
| 英文名称 | 19746-37-3 |
|---|---|
| 别名 | C11H20N2O5S |
| 分子式 | 292.35 |
| CAS号 | |
| 分子量 | S70556 |
| MDL | S-乙酰胺基甲基-N-叔丁氧羰基-L-半胱氨酸 |
| 名称 | 98% |
| 介绍 | /19746-37-3.gif |
| 英文名称 | 19746-37-3 |
|---|---|
| 别名 | C11H20N2O5S |
| 分子式 | 292.35 |
| CAS号 | |
| 分子量 | S70556 |
| MDL | S-乙酰胺基甲基-N-叔丁氧羰基-L-半胱氨酸 |
| 名称 | 98% |
| 介绍 | /19746-37-3.gif |