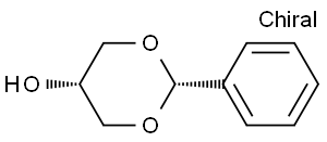
MC72027 Cis-2-Phenyl-1,3-Dioxan-5-OL 4141-19-9 顺式-1,3-O-苄烯丙三醇
详情
| 英文名称 | 4141-19-9 |
|---|---|
| 别名 | C10H12O3 |
| 分子式 | 180.20 |
| CAS号 | |
| 分子量 | S72027 |
| MDL | 顺式-1,3-O-苄烯丙三醇 |
| 名称 | 97% |
| 介绍 | /4141-19-9.gif |
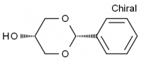
| 英文名称 | 4141-19-9 |
|---|---|
| 别名 | C10H12O3 |
| 分子式 | 180.20 |
| CAS号 | |
| 分子量 | S72027 |
| MDL | 顺式-1,3-O-苄烯丙三醇 |
| 名称 | 97% |
| 介绍 | /4141-19-9.gif |