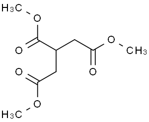
MC74345 Trimethyl 1,2,3-Propanetricarboxylate 6138-26-7 Trimethyl 1,2,3-Propanetricarboxylate
详情
| 英文名称 | 6138-26-7 |
|---|---|
| 别名 | C9H14O6 |
| 分子式 | 218.2 |
| CAS号 | |
| 分子量 | S74345 |
| MDL | Trimethyl 1,2,3-Propanetricarboxylate |
| 名称 | 97% |
| 介绍 | /6138-26-7.gif |
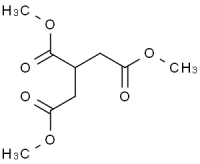
| 英文名称 | 6138-26-7 |
|---|---|
| 别名 | C9H14O6 |
| 分子式 | 218.2 |
| CAS号 | |
| 分子量 | S74345 |
| MDL | Trimethyl 1,2,3-Propanetricarboxylate |
| 名称 | 97% |
| 介绍 | /6138-26-7.gif |