0 items

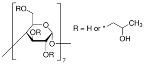
MC11011 羟丙基-β-环糊精 [128446-35-5]

MC11011   羟丙基-β-环糊精  [128446-35-5]

Details

英文名称 HPCD
别名 羟丙基倍他环糊精
分子式 C63H112O42
CAS号 128446-35-5
分子量 1541.54
MDL MFCD00069372
名称 羟丙基-β-环糊精
介绍 高纯,98%

Product Tags

Use spaces to separate tags. Use single quotes (') for phrases.

  • Product Name
    Size
    Price

* Required Fields

$0.00

Most Popular

© 2012-2020 MXBIOSCIECNE LLC. All Rights Reserved. 沪ICP备18022364号-1