0 items

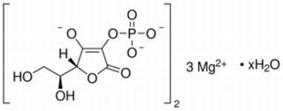
MC24742 L-抗坏血酸-2-磷酸酯镁 [113170-55-1]

MC24742 维生素C磷酸酯镁   ASCORBIC ACID 2-PHOSPHATE MAGNESIUM ESTER [113170-55-1]

Details

英文名称 ASCORBIC ACID 2-PHOSPHATE MAGNESIUM ESTER
别名 NA
分子式 C6H6Mg1.5O9P · xH2O 
CAS号 113170-55-1 
分子量 289.54
MDL NA
名称 维生素C磷酸酯镁
介绍 99%

Product Tags

Use spaces to separate tags. Use single quotes (') for phrases.

  • Product Name
    Size
    Price

* Required Fields

$1.67

Most Popular

© 2012-2020 MXBIOSCIECNE LLC. All Rights Reserved. 沪ICP备18022364号-1