0 items

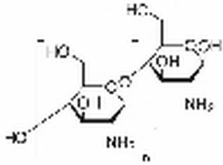
MC24914 壳聚糖(甲壳胺) [9012-76-4]

MC24914   壳聚糖(甲壳胺)  [9012-76-4]

Details

英文名称 Chitosan
别名 壳聚糖;甲壳质;几丁聚糖;壳多糖;2-氨基-β-1,4-葡聚糖;胺聚糖;聚D-葡糖胺
分子式 NA
CAS号 9012-76-4
分子量 NA
MDL MFCD00161512
名称 壳聚糖(甲壳胺)
介绍 BR,脱乙酰度85%

Product Tags

Use spaces to separate tags. Use single quotes (') for phrases.

  • Product Name
    Size
    Price

* Required Fields

$0.00

Most Popular

© 2012-2020 MXBIOSCIECNE LLC. All Rights Reserved. 沪ICP备18022364号-1