MC42430 罗勒烯 [13877-91-3]
Details
| 英文名称 | Ocimene |
|---|---|
| 别名 | 3,7-甲基-1,3,6-辛三烯 |
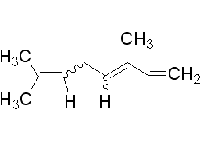
| 分子式 | C10H16 |
| CAS号 | 13877-91-3 |
| 分子量 | 136.23 |
| MDL | MFCD00026437 |
| 名称 | 罗勒烯 |
| 介绍 | mixture of isomers,≥90% |
| 英文名称 | Ocimene |
|---|---|
| 别名 | 3,7-甲基-1,3,6-辛三烯 |
| 分子式 | C10H16 |
| CAS号 | 13877-91-3 |
| 分子量 | 136.23 |
| MDL | MFCD00026437 |
| 名称 | 罗勒烯 |
| 介绍 | mixture of isomers,≥90% |