MC48206 磷酸吡哆醛 [54-47-7]
Details
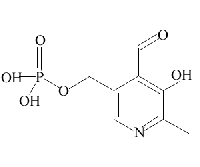
| 英文名称 | Pyridoxal phosphate |
|---|---|
| 别名 | 磷酸吡哆醛;吡多醛-5-磷酸酯,3-羟基-2-甲基-5-[(磷酰氧基)甲基]-4-吡啶甲醛 |
| 分子式 | C8H10NO6P |
| CAS号 | 54-47-7 |
| 分子量 | 247.14 |
| MDL | NA |
| 名称 | 磷酸吡哆醛 |
| 介绍 | 98% |
| 英文名称 | Pyridoxal phosphate |
|---|---|
| 别名 | 磷酸吡哆醛;吡多醛-5-磷酸酯,3-羟基-2-甲基-5-[(磷酰氧基)甲基]-4-吡啶甲醛 |
| 分子式 | C8H10NO6P |
| CAS号 | 54-47-7 |
| 分子量 | 247.14 |
| MDL | NA |
| 名称 | 磷酸吡哆醛 |
| 介绍 | 98% |