0 items

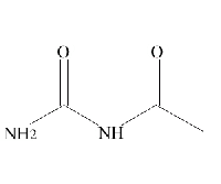
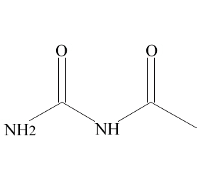
MC48742 乙酰脲 [591-07-1]

MC48742  乙酰脲  [591-07-1]

Details

英文名称Acetylurea
别名NA
分子式C3H6N2O2
CAS号591-07-1
分子量102.09
MDLMFCD00038140
名称乙酰脲
介绍99%

Product Tags

Use spaces to separate tags. Use single quotes (') for phrases.

  • Product Name
    Size
    Price
$0.00

Most Popular

© 2012-2020 MXBIOSCIECNE LLC. All Rights Reserved. 沪ICP备18022364号-1