0 items

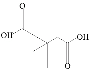
MC48825 2,2-二甲基琥珀酸 [597-43-3]

MC48825  2,2-二甲基琥珀酸  [597-43-3]

Details

英文名称2,2-Dimethylsuccinic Acid
别名NA
分子式C6H10O4
CAS号597-43-3
分子量146.14
MDLMFCD00004196
名称2,2-二甲基琥珀酸
介绍98%

Product Tags

Use spaces to separate tags. Use single quotes (') for phrases.

  • Product Name
    Size
    Price
$0.00

Most Popular

© 2012-2020 MXBIOSCIECNE LLC. All Rights Reserved. 沪ICP备18022364号-1