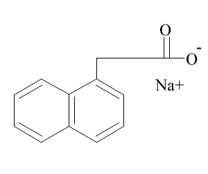
MC49012 1-萘乙酸钠 [61-31-4]
Details
| 英文名称 | 1-Naphthaleneacetic Acid Sodium Salt |
|---|---|
| 别名 | 1-萘乙酸钠;α-萘乙酸钠 |
| 分子式 | C12H9NaO2 |
| CAS号 | 61-31-4 |
| 分子量 | 208.19 |
| MDL | MFCD00064967 |
| 名称 | 1-萘乙酸钠 |
| 介绍 | 95%(HPLC) |
| 英文名称 | 1-Naphthaleneacetic Acid Sodium Salt |
|---|---|
| 别名 | 1-萘乙酸钠;α-萘乙酸钠 |
| 分子式 | C12H9NaO2 |
| CAS号 | 61-31-4 |
| 分子量 | 208.19 |
| MDL | MFCD00064967 |
| 名称 | 1-萘乙酸钠 |
| 介绍 | 95%(HPLC) |