0 items

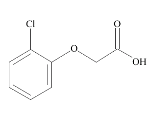
MC49038 邻氯苯氧乙酸 [614-61-9]

MC49038  邻氯苯氧乙酸  [614-61-9]

Details

英文名称2-Chlorophenoxyacetic acid
别名NA
分子式C8H7ClO3
CAS号614-61-9
分子量186.59
MDLMFCD00004298
名称邻氯苯氧乙酸
介绍98%

Product Tags

Use spaces to separate tags. Use single quotes (') for phrases.

  • Product Name
    Size
    Price
$0.00

Most Popular

© 2012-2020 MXBIOSCIECNE LLC. All Rights Reserved. 沪ICP备18022364号-1