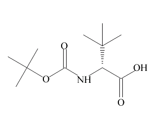
MC49296 N-Boc-L-叔亮氨酸 [62965-35-9]
Details
| 英文名称 | N-Boc-L-Tert-Leucine |
|---|---|
| 别名 | Boc-L-叔亮氨酸;N-(叔丁氧羰基)-L-叔亮氨酸;(S)-N-Boc-2-氨基-3,3-二甲基丁酸;(S)-2-(Boc-氨基)-3,3-二甲基丁酸;(S)-2-(叔丁氧羰基氨基)-3,3-二甲基丁酸 |
| 分子式 | C11H21NO4 |
| CAS号 | 62965-35-9 |
| 分子量 | 231.29 |
| MDL | MFCD00065574 |
| 名称 | N-Boc-L-叔亮氨酸 |
| 介绍 | 98% |

![MC49296 N-Boc-L-叔亮氨酸 [62965-35-9]](https://mxbioscience.com/media/catalog/product/cache/1/image/200x167/9df78eab33525d08d6e5fb8d27136e95/3/0/309296.gif)