MC50922 AE-活性酯 [80756-85-0]
Details
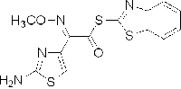
| 英文名称 | S-2-Benzothiazolyl-2-amino-α-(methoxyimino)-4-thiazolethiolacetate |
|---|---|
| 别名 | AE-活性酯;2-(2-氨基-4-噻唑基)-2-(甲氧亚氨基)乙酸硫代苯并噻唑酯,2-甲氧亚氨基-2-(2-氨基-4-噻唑基)-(z)-硫代乙酸苯并噻唑酯 |
| 分子式 | C13H10N4O2S3 |
| CAS号 | 80756-85-0 |
| 分子量 | 350.44 |
| MDL | MFCD00129148 |
| 名称 | AE-活性酯 |
| 介绍 | 97% |

![MC50922 AE-活性酯 [80756-85-0]](https://mxbioscience.com/media/catalog/product/cache/1/image/200x99/9df78eab33525d08d6e5fb8d27136e95/3/1/310922.gif)