0 items

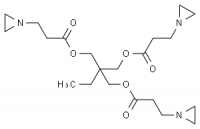
MC73082 2-((3-Aziridin-1-Ylpropionyl)Methyl)-2-Ethylpropane-1,3-Diyl Bis(Aziridine-1-Propionate) 52234-82-9 三羟甲基丙烷-三(3-吖丙啶基丙酸酯)

MC73082 2-((3-Aziridin-1-Ylpropionyl)Methyl)-2-Ethylpropane-1,3-Diyl Bis(Aziridine-1-Propionate) 52234-82-9 三羟甲基丙烷-三(3-吖丙啶基丙酸酯)

Details

英文名称52234-82-9
别名C21H35N3O6
分子式425.52
CAS号
分子量S73082
MDL三羟甲基丙烷-三(3-吖丙啶基丙酸酯)
名称95%
介绍/52234-82-9.gif

Product Tags

Use spaces to separate tags. Use single quotes (') for phrases.

  • Product Name
    Size
    Price
$0.00

Most Popular

© 2012-2020 MXBIOSCIECNE LLC. All Rights Reserved. 沪ICP备18022364号-1